【トピックス】
リアルタイムNMR法によるAPOBEC3GのDNAデアミネーション反応の定量解析
古川亜矢子
横浜市大院・生命医科学
1.はじめに
ヒト免疫不全ウイルス (HIV) は免疫細胞系の宿主因子を利用して自己増殖を繰り返し、後天性免疫不全症候群 (AIDS) をもたらすウイルスで、2013年の新規HIV感染者数はおよそ210万人である。現在の治療法はおもに多剤併用療法であるが、重篤な副作用や薬剤耐性変異株の発生が問題とされている。したがってHIV感染の拡大を防ぐには、HIV自体を標的とした従来の薬剤の開発だけでは不十分であり、例えば宿主側因子および宿主因子-HIV間相互作用を標的とするなどの変異に対抗する新たな開発戦略が求められている。そこで、近年発見されたHIVの増殖阻害をもたらす宿主の生体防御機構が注目されている。その一つが宿主由来のAPOlipo-protein B mRNA-Editing enzyme Catalyticpolypeptide-like 3G (APOBEC3G; A3G) タンパク質によるデアミネーション (脱アミノ化) 反応である1)。A3Gは、Activation-Induced cytidine-Deaminase (AID) に代表されるシトシンデアミネース酵素のモチーフ配列 (H-X-E-X23-28-P-C-X-C) をN末端とC末端に有している。このうちのC末端ドメイン (CD2) のみがデアミネース活性を保持しており、宿主細胞内で逆転写されて生じたHIVの (−) DNA中のシトシンをデアミネーションしてウラシルに変換することができる。この変換は、HIVの (+) DNA中でのGからAへの変異をもたらし、その結果アミノ酸の置換や停止コドンの挿入に伴うHIV の増幅阻害につながる。A3Gの抗HIV 活性の根幹であるデアミネーション反応機構は、生化学的手法を用いて研究されてきたが、DNA中に散在するシトシン連続配列 (シトシンクラスター) やクラスター中のシトシンの区別は困難なため、作用機序の詳細は未解明であった。本稿では、このA3Gのデアミネーション反応機構をリアルタイムNMR法によって解明した過程を解説する2)。
2.APOBEC3G (A3G) の酵素反応の特徴
A3Gは、一本鎖DNA中に存在するシトシン連続配列CCCの三番目のシトシンを好んでデアミネーションすることが知られている3)。また、興味深いことにA3Gによるデアミネーション反応は位置依存的であり、5’側により近いシトシン連続配列に優先的に変異が導入される。さらに、高速AFMや蛍光共鳴エネルギー移動 (FRET) 分析などによって、A3Gは一本鎖DNAに非特異的に結合するため結合能が非常に弱いことや、DNA上を両方向に約30 nm (69 nucleotides) ほどスライドし続けることが示されている4,5)。このように特殊な酵素反応は、ミカエリス・メンテン式での解析が困難である。そこで、独自の反応速度論モデルを構築し、リアルタイムNMR法と組み合わせることによって、A3Gの酵素反応機構を明らかにした。
表1 リアルタイムNMRを用いた例とタイムスケール

3.リアルタイムNMR
リアルタイムNMR法は、時間依存的に変化する化学シフトやシグナル強度を追跡することで、代謝、翻訳後修飾、DNA修飾などの生物活性やタンパク質の構造変化、フォールディングを定量的に解析できる方法であり、酵素活性の定量にも適用できる。そして、様々な生命現象に対するリアルタイムNMR法の適用例が報告されている (表1)6)。化学シフトの変化を追跡した例としては、15N-HSQC (Heteronuclear Single Quantum Coherence spectroscopy) とNOESY (Nuclear Overhauser SpectroscopY) スペクトルを経時的に測定することによるタンパク質のフォールディング過程解析がある7)。15N-HSQCは、直接結合した1H核と15N核の相関スペクトルを与えるNMR 測定法で、タンパク質中の主鎖アミド基と側鎖アミノ基由来のシグナルが選択的に観測される。NOESYは、空間的に近い (〜5 Å以内)1H核同士の相関を検出する測定法である。いずれの測定もその時のタンパク質の構造状態を反映して刻々と変化する各シグナルの化学シフトをリアルタイムで観測できるため、フォールディング過程の解析が可能となる。シグナル強度を追跡した例としては、GTPaseがGTPを加水分解してGDPに変換する反応をGTPaseの15N-HSQCスペクトルの経時的測定で解析している報告がある8)。このように、リアルタイムNMR法は、適したNMR測定法を選択することによって、進行中の様々な反応を止めることなく網羅的かつ詳細に追跡できる手法である。また、分子内の複数の領域で同時に起こる反応を個々に追跡できることも利点の一つである。本研究では、A3Gが一本鎖DNA上の各所で引き起こす複数のデアミネーション反応を、1H-1H TOCSY法 (Totally Correlated SpectroscopY) によって解析した (図1b)。TOCSY法とは、直接化学結合している1H間の相関シグナルを観測する手法であり、今回の実験ではシトシンの5位の1Hと6位の1Hとの相関シグナルの経時変化に着目した (図1a)。


表2 研究に用いた核酸の種類

4.リアルタイムNMR法によるA3Gの位置依存的なデアミネーション反応の解析
NMR試料管に標的一本鎖DNA (表2) を入れ、A3Gによる反応に伴って消失するシトシン由来のシグナル強度をリアルタイムで追跡した。具体的には、反応液のTOCSYスペクトルを連続測定し、デアミネーション反応によって消失するシトシンの5位と6位の1H相関シグナル強度を反応時間に対してプロットした (図1,2)。最初に、2つのCCCを含む一本鎖DNA (S2ccc) に対するA3G全長とA3Gの CD2ドメイン (A3G CD2) のデアミネーション反応をそれぞれ追跡した (図2a,b)。その結果、どちらの場合でも5’側のCCCにおけるデアミネーション反応の方が速いことが分かった。また、A3G CD2でもA3G全長と同様に位置依存的なデアミネーション反応を起こすことや、A3G CD2がA3G全長よりも高い酵素活性を示すことを明らかにした。すなわち、A3G CD2は位置依存的デアミネーション反応を起こすのに重要であることが示唆された。続いて、A3G が一本鎖DNA上をスライドしてデアミネーション反応を起こしているか否かを調べるために、2つのCCCを有する二本鎖DNAを含む核酸 (Scccdsccc) を用いて同様の実験を行った (図2c,d)。A3Gは二本鎖DNAには結合しないため、二本鎖DNAはA3Gのスライドを阻害する。実験結果は、スライド現象が起きなかったことを示唆するように、5’側と3’側のCCCに対するデアミネーション速度がほぼ同等だった (図2d)。
このことは、リアルタイムNMR法でもA3G CD2がDNA上をスライドする現象を検出可能であることを示している。さらに、異なる位置にCCCを含む同じ長さの3種類の一本鎖DNA (S5’CCC、SmCCC、S3’CCC) を用いて、それらに対するデアミネーションの反応速度を比較した結果、5’側 (S5’CCC) >中央 (SmCCC) >3’側 (S3’CCC) の順であり、5’側のシトシン連続配列ほどA3Gの作用を受けやすいことがリアルタイムNMR法によって確認された (図3b)。




5.モデルの構築
A3G CD2の位置依存的デアミネーション反応機構を説明するために、反応速度論モデルを構築した (図3a)。
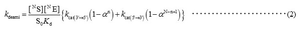
このモデルは、仮定@からCに基づくものである。@、A3G CD2は、どの塩基にも同じ結合速度定数konで結合し、同じ解離結合定数koffで解離する。A、両方向に同じ速度ksでDNA上をスライドし、一度スライドし始めると向きを変えない。B、3’からCCCに到達した場合の酵素活性kcat(3’→5’)と、5’からCCCに到達した場合の酵素活性kcat(5’→3’)とは異なる。A3Gと一本鎖DNAとの結晶構造は未決定ながら、以前に筆者らが決定したA3G CD2の溶液構造には活性ポケットの片側に壁が存在する (図4)9,10)。この壁が、CCCを正確に活性ポケットに誘導する役割を担うと推測できる。A3G CD2の活性ポケットにCCCが壁を乗り越えて達するか、到達後に壁に遭遇するかは、スライドする方向に依存することからkcatはスライドする方向で異なると考えられる (図3a)。C、通常の酵素反応では、酵素は生成物に結合できないが、A3Gは一本鎖DNAに非特異的に結合するため酵素に対する基質と生成物の和は一定とみなせる。そのため、A3Gによるデアミネーション反応の変化量は、式(1)のように表すことができる。さらに、上述の仮定に基づきモデルを定式化した (式 (2) - (5))。
![]()
I0は、測定開始時のシグナル (シトシンの5位と6位の1H-1H相関) 強度であり、kdeamiは見かけのデアミネーション速度を表し、次のように記述できる。





図4 A3G CD2の活性ポケット構造
Nは、全長の塩基の数を表し、nは反応するシトシンの3’末端からの位置を表す。[NS]はフリーの基質濃度、[NE]はフリーの酵素の濃度である。α、Kd (=koff /kon)、kcat(3’→5’)、kcat(5’→3’)は、測定条件に依存しないパラメーターである。 DNAの鎖長やA3GとDNAのモル比を様々に変えて測定したリルタイムNMRデータ (S5’CCC、SmCCC 、S3’CCCとSCCCssCCC中の各CCCに対する活性) のグローバルフィットを行った結果、上記 (1) 式に良くフィットし、kcat(3’→5’) は68 s-1、kcat(5’→3’) は14 s-1という結果が得られた11)。すなわち、A3Gによるデアミネーション反応が位置依存性を示す原因は2つの異なるkcatによるものであり、A3GがCCCに対して3’側から接近する方が、5’側からの接近よりもデアミネーション反応が起こりやすいことが立証された。A3Gは、一本鎖DNAの全領域に均等に結合した後、どちらの方向にも同じ確立でスライドする。この場合、5’側に位置するCCCの方が、A3Gの3’側からの接近頻度が高くなる。個々のCCCに対するA3Gの活性は同じでありながら、3’側からの接近頻度がCCCの位置によって異なるため、結果としてA3Gが5’側のCCCに対してより高頻度に変異を導入するのである。
6.おわりに
デアミネーション反応のリアルタイムNMRデータを新規に構築した反応速度論モデルに則して解析することによって、A3Gの位置依存的デアミネーション反応機構を明らかにした。デアミネーション反応の位置依存性は、A3Gが標的シトシンに接近する方向によって異なる酵素活性kcatを示すことに起因すると判明した (図5)。

図5 A3GCD2の位置依存的デアミネーション反応機構
APOBECファミリーによるデアミネーション反応が、DNAの脱メチル化過程に関与することが明らかにされつつある。また、他の酵素によってDNA中のシトシンがメチル化・ヒドロキシメチル化など様々な修飾を受け、エピジェネティック調節機構の一旦を担うとの報告もされている。これら生命現象の根幹を成す酵素反応の詳細な反応機構は解明されておらず、今回紹介したリアルタイムNMR法を駆使して解析を進めているところである。
謝辞
本稿で述べた研究は、京都大学エネルギー理工学研究所の片平正人教授と永田崇准教授、および京都大学大学院工学研究科分子工学専攻の菅瀬謙治准教授のご支援により完遂することができました。この場をお借りして感謝の意を表します。
文献
1) Sheehy, A. M., Gaddis, N. C., Choi, J. D., Malim, M. H.: Nature, 418, 646 (2002).
2) Furukawa, A., Sugase, K., Morishita, R., Nagata, T., Kodaki, T., Takaori-Kondo, A., Ryo, A., Katahira, M.: Angew. Chem. Int. Ed., 53, 2349 (2014).
3) Yu, Q., Konig, R., Pillai, S., Chiles, K., Kearney, M., Palmer, S., Richman, D., Coffin, J. M., Landau, N. R.: Nat. Struct. Mol. Biol., 11, 435 (2011).
4) Shlyakhtenko, S., Lushnikov, A. Y., Miyagi, A., Li, M., Harris, R. S., Lyubchenko, Y. L.: Biochemistry, 51, 6434 (2012).
5) Senavirathne, G., Jaszczur, M., Auerbach, P. A., Upton, T. G., Chelico, L., Goodman, M. F., Rueda, D.: J. Biol. Chem., 287, 15826 (2012).
6) Smith, M. J., Marshall, C. B., Theillet, F. X., Binolfi, A., Selenko, P., Ikura M.: Curr. Opin. Struct. Biol., 32, 39 (2015).
7) Mizuguchi, M., Kroon, G. J., Wright, P. E., Dyson, H. J.: J. Mol. Biol., 328, 1161 (2003).
8) Mazhab-Jafari, M. T., Marshall, C. B., Smith, M., Gasmi-Seabrook, G. M. C., Stambolic, V., Rottapel, R., Neel, B. G., Ikura, M.: J. Biol. Chem., 285, 5132 (2010).
9) Holden, L. G., Prochnow, C., Chang, Y. P., Bransteitter, R., Chelico, L., Sen, U., Stevens, R. C., Goodman, M. F., Chen, X. S.: Nature, 456, 121 (2008).
10) Furukawa, A., Nagata, T., Matsugami, A., Habu, Y., Sugiyama, R., Hayashi, F., Kobayashi, N., Yokoyama, S., Takaku, H., Katahira M.: EMBO J., 28, 440 (2009).
11) Sugase, K., Konuma, T., Lansing, J. C., Wright, P. E.: J. Biomol. NMR, 56, 275. (2013).