【トピックス】

還元型リン化合物を利用したバイオテクノロジー

廣田隆一、黒田章夫

広大院・先端研

 

1.はじめに
リンは核酸、ATP、リン脂質などの成分として生命の必須元素であり、一般には酸化数+Xの正リン酸 (PO43-)が利用されると考えられている。そのため、環境中に存在するリンはリン酸とそのエステル化合物であるとの認識がほとんどであり、リンの生物循環もリン酸を中心に考えられている。しかし、リンは化学的に-Vから+Xの複数の酸化数を取ることが可能であり、亜リン酸 (HPO32-,酸化数 +V)やホスホン酸 (RPO32-, +V)、次亜リン酸 (H2PO2-, +T)、ホスフィン (PH3,-V)などの還元されたリンを持つ化合物 (以下、これらをまとめて還元型リン化合物と呼ぶ)としても存在することができる (図1)。これらの還元型リン化合物の環境中における存在量や動態はまだほとんど明らかにされていないが、最近少しずつ興味深い知見が得られ始めている。筆者らは微生物のリン酸代謝について研究を進めてきた過程で、このリンのレドックス変換に関わる機能は様々なバイオテクノロジーに利用できる可能性があることに注目した。本稿では、一般にはおそらくあまり馴染みのない還元型リン化合物の微生物代謝について紹介し、この機能を活用した筆者らの最近の研究を紹介したい。

img1

sentence1

2.還元型リン化合物の生成と代謝に関わる微生物機能
自然界における還元型リン化合物の存在については、古くから報告があるものの現在でも不明な点が多い。おそらく測定が難しいために、研究者間での統一的な見解に至る再現性が得られていないようである。しかし、最近異なる複数のグループによる還元型リン化合物の検出に関する興味深い結果が報告されており、これまでの現状と併せて整理してみたい。

2-1 環境中における還元型リン化合物の存在
還元型リン化合物の由来は無生物的なものと生物的なものに分けられる。前者はさらに自然起源と人為起源のものに分けられる。自然起源のものについては、シュライバーサイト (schreibersite)という隕石が水と反応することで次亜リン酸や亜リン酸などを生じたり1)、落雷時のエネルギーによってヒドロキシアパタイト中のリン酸がホスフィンまで還元され大気中に放出されること2)、金属の腐食によってホスフィンが生成すること3)などが知られている。これらのリンの総量を把握することは困難であるが、原始地球環境や火山など限定された地域では、リン源として生物に影響を及ぼしうる量が発生していた可能性が考えられる。人為起源の還元型リン化合物は、工業用途の黄リンから派生するものがあり、その一部である次亜リン酸や亜リン酸が廃棄物として海洋投棄や埋め立てにより処分されることがあったが、現在は環境中への流出は厳しく規制されている4)。環境に直接流出する還元型リン化合物として比較的インパクトがあるものには、ホスホン酸系の農薬がある。代表的なものとしては、米国モンサント社が開発した非選択的除草剤グリホサート (IUPAC名:イソプロピルアンモニウム N-(ホスホノメチル)グリシナート)が挙げられる。グリホサートは、米国において耐性遺伝子が組み込まれたダイズやトウモロコシ、綿花の種子と共に大量に生産されており、その使用量は米国だけで2007年には8万2000万トンにのぼり、現在その生産量、使用量ともに増加している。

生物的な由来の還元型リン化合物としては、古くに嫌気消化汚泥、灌水土壌における亜リン酸や次亜リン酸、揮発性のホスフィンの生成が報告されている。Devaiらはいくつかの排水処理場に認められた量論的に説明の付かないリンの損失が、気体であるホスフィンとなって大気中に放出された結果であると報告し、さらに未同定の微生物を用いた嫌気培養でも同様にホスフィンの発生を検出したとしている5)。水田土壌におけるリンの還元を薄層クロマトグラフィーにより検出した坪田は、大腸菌やクロストリジウムの培養液からも全体の5%程度に相当するリンを亜リン酸および次亜リン酸として検出したと報告している6)。しかし、残念ながらその後いずれの実験についても再現に成功した例は報告されておらず、詳細は不明なままである。

2-2 還元型リン化合物の酸化機構の発見
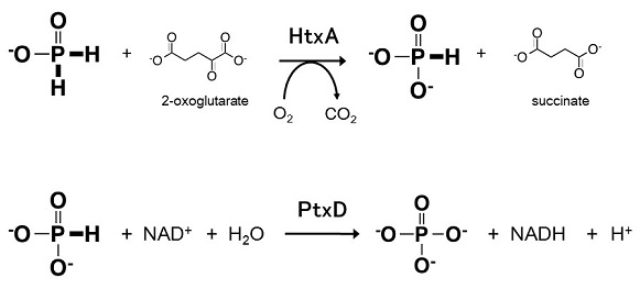
一方、還元型リン化合物の酸化経路についても研究が行われてきた。1967年にはPseudomonas fluorescenceにおいてNAD依存的な亜リン酸酸化活性が7)、1974年にはBacillus属細菌から次亜リン酸酸化活性が8)報告されていた。その後、2001年、2002年にPseudomonas stutzeri WM88株から亜リン酸と次亜リン酸の酸化を触媒する酵素、亜リン酸デヒドロゲナーゼ (PtxD)と次亜リン酸酸化酵素 (HtxA)がそれぞれ単離、同定されるに至った9,10)。PtxDはNAD依存性のデヒドロゲナーゼであり、NADHの生成に伴い亜リン酸をリン酸に酸化する。HtxAは2-オキソグルタル酸依存的に次亜リン酸を酸化し、コハク酸と亜リン酸を生じる (図2)。WM88株はこの両方を使うことで次亜リン酸をリン源として使用することができる。

img2

図2 次亜リン酸酸化酵素(HtxA)と亜リン酸化還元酵素(PtxD)の反応

ホスホン酸の酸化機構については遺伝学的アプローチによって1990年にC-Pリアーゼをコードする14個の遺伝子から構成されるphnオペロンが発見され11)、最近その反応機構が鉄-硫黄クラスター[Fe4S4]酵素を含む巨大な複合体による非常に複雑なものであることが解明された12,13)。先に述べた除草剤グリホサートは土壌細菌のC-Pリアーゼによって分解するとされている。

しかし、これらの分子機構が解明されてなお、還元型リン化合物の生成については不明なままであり、逆にこれだけ還元型リン化合物の酸化経路が存在しながらなぜ還元経路が分からないのかという謎を際立たせている。還元型リン化合物は原始地球のプレバイオティックな環境では安定に存在し得た可能性があることから、これらの遺伝子は太古の微生物から遺された不要な遺伝子であり、現在の地球環境においてはもはや生理学的な意味はほとんど持たないという議論もある。しかしながら、最近の研究によって、海洋性シアノバクテリアTrichodesmiumを中心とした微生物群集がリン酸を還元してホスホン酸と亜リン酸を生成する能力を有することが報告され、さらに驚くべきことにその量は陸域から海洋に流入するリンの量を凌ぐ規模 (1011 molP/年)であると見積もられている14)。また、最近の高速DNAシークエンサーを用いた研究からホスホン酸の合成経路が、5〜7%のバクテリアに広く存在することが明らかにされた15)。一部のホスホン酸は非酵素的に亜リン酸に変化することが知られており、C-P-C結合を持つホスフィン酸からは次亜リン酸が生じるとも考えられている。つまり、これらは生物学的な還元型リン化合物の生成源として重要な意味を持つと考えられる。いずれの発見も亜リン酸や次亜リン酸の生成機構を直接証明したものではないが、現在の地球環境でこれまでミッシングリンクとなっていた生物的なリンの還元経路となっている可能性があり非常に興味深い。

3.PtxDを利用したバイオテクノロジー
さて、この様に、還元型リン化合物の地球規模での循環において、微生物の関与が断片的には分かってきているものの、微生物生態における役割や地球的規模の物質循環における意味はまだまだ未知の部分が多い。しかし、これまでに明らかにされた還元型リン化合物の代謝機能を利用することで様々なバイオテクノロジーへの応用を可能にする。次に我々が取り組んでいる2つの応用例について紹介したい。

3-1 PtxDの補酵素再生酵素としての利用
3-1-1 PtxDを用いた補酵素再生系
酵素反応を使った有用物質生産は、穏和な条件で運転することが可能な環境調和型のプロセスであり、化学反応では難しい複雑な反応を可能にする。しかし、現在工業プロセスで利用されている酵素反応の65%は単純な加水分解反応であり24)、有用な酵素を十分に活用できていない。その理由として、多くの酵素がATPやNAD (P)Hなどの補酵素を要求することがあげられる。特にNAD(P)Hは非常に高価であるため、実際のバイオプロセスにおいて、NAD (P)Hを反応等量添加するプロセスは経済的に成立しない。そこで、安価な基質と再生酵素を利用した、NAD (P)H再生系の利用が強く望まれている。現在利用されているNADH再生酵素には、ギ酸デヒドロゲナーゼ (FDH)や、グルコースデヒドロゲナーゼ (GDH)がある。しかしこれらは、基質の安全性や再生酵素の比活性、反応液のpH変化をもたらす副反応物の生成などに問題を抱えている16)

これに対し、PtxDを用いたNADH再生系は次のようなメリットがある。@亜リン酸の価格が非常に安価である (NADHの1/1000以下)A反応が非常に進行し易くほぼ不可逆である (ΔGº'=-63.3 kJ/mol)B反応副産物であるリン酸は緩衝作用を持つためpH変動による反応阻害が起こらないC再生反応の基質と生成物が無機物質であり有機廃液を出さないクリーンなシステムの構築が可能である。しかし、P. stutzeri WM88から単離されたPtxDは熱安定性に乏しく不安定であるという問題を抱えていた。Woodyerらはランダム変異によってP. stutzeri由来のPtxDの熱安定性を60℃以上に高めることに成功していたが、この変異体には熱安定性と引き替えに亜リン酸に対する特異性が低下しているうえに、大腸菌で発現させると不溶化しやすいという問題があった16,17)

3-1-2 耐熱性PtxDの単離
そこで我々は好熱性細菌からPtxDを取得するというアプローチにより熱安定性の高いPtxDの取得を試みた。Ralstonia sp. 4506株は亜リン酸を唯一のリン源とした合成培地で集積培養で45℃でも生育する株としてスクリーニングされた18)P. stutzeriは亜リン酸培地において増殖速度が低下するのに対し、4506株は亜リン酸培地とリン酸培地での増殖がほとんど変わらず、効率的な亜リン酸資化能力を有していると考えられた (図3)。4506株のPtxD (RsPtxD)を取得し、生化学的解析を行ったところ、反応至適温度は45℃、45℃における活性半減期は約73時間でありP. stutzeriのPtxD (PsPtxD)に対し、3,000倍の熱安定性を示した (図4a, b)。また、酵素活性もVmax/Kmベースで6.7倍以上の値を示し、発現したタンパク質の90%以上が可溶性タンパク質として発現していることがわかった (図4c)。以上のことから、高い触媒効率、可溶性、熱安定性を示すRsPtxDは、工学的利用に適した性質を有していることが分かった18)

img3

sentence3

img4

sentence4

3-1-3 RsPtxDの補酵素要求性の改変
RsPtxDはNADを利用するが、NADPに対してはほとんど活性を示さなかった。NADPHはNADHに比べてモル当たり10倍以上高価であるためNADPH再生系の需要も非常に高い。そこで、RsPtxDの補酵素要求性の改変を試みた。これまでに、数種類のNAD依存性デヒドロゲナーゼにおいてタンパク質立体構造が解明され、Rossman-foldと呼ばれるNAD結合部位のβ2位シート構造とα3位ヘリックス構造の中間に位置するアスパラギン酸残基、あるいはその近傍に塩基性アミノ酸置換を導入することで、NADPへの特異性が高まることが知られている19)。RsPtxDにおいても同等の機能を持つと考えられるアスパラギン酸残基 (D175)が存在したため、D175をアラニンへ、隣接する176位のプロリンをアルギニンへ置換した変異体 (RsPtxD-DM)を作製した。得られたタンパク質の速度論的解析を行ったところ、RsPtxD-DMはNADPに対するKmが野生株に比べて大きく低下し、NADPへの特異性が高まっていることが明らかになった。また、Vmaxも大きく上昇しており、Vmax/Km値で比較すると野生型と比べてNADPを補酵素としたときの触媒活性が約170倍も上昇していることが明らかになった。

3-1-4 RsPtxDを使ったNAD (P)H再生系の有効性評価
RsPtxDを使ったNADH再生系、およびRsPtxD-DMを使ったNADPH再生系の有効性評価を行った。抗ウイルス薬の前駆体として使用されるL-tert-ロイシン (LTL)は、ロイシンデヒドロゲナーゼ (LeuDH)によるNADH依存的な立体選択的還元的アミノ化によって合成することができる (図5a上)。そこで、RsPtxDを用いたNADH再生系をこの反応と共役させて、LTL合成を行った。0.5 mMのNADを使った反応系において50 mMのトリメチルピルビン酸を3時間で全てLTLに変換できた (図5a下)。次にRsPtxD-DMによるNADPH再生系の評価を行った。Thermus thermophius由来のシキミ酸デヒドロゲナーゼ (TtSDH)のシキミ酸合成反応 (図5b上)とRsPtxD-DMの共役反応を、10 mM 3-デヒドロシキミ酸 (3-DH)、0.2 mM NADP存在下で行った。その結果、50分で反応が完結し、全ての3-DHをシキミ酸に変換することが出来た (図5b下)。

img5

sentence5

この様に、RsPtxDを用いたNADH再生系、RsPtxD-DMを用いたNADPH再生系は、共に有効である事が明らかになった。また、両反応系共に45℃で反応を行っており、RsPtxDの高い熱安定性がこの温度条件での反応を可能としている。現在利用されているNAD (P)H再生酵素では、酵素自体の比活性が高い事から、GDHが最も好まれて使われているようである。しかし、RsPtxDを用いたNAD (P)H再生系も、前述のメリットがあることから、今後NAD (P)H再生系の選択肢のひとつとして利用されることが期待される。

3-2 PtxDの選択マーカーとしての利用
選択マーカーは遺伝子工学の重要なツールの一つであり、一般には抗生物質耐性遺伝子や、栄養要求性変異株の要求性を相補する遺伝子などが選択マーカーとして用いられる。全ての生物はリンを生育に必要とするが、亜リン酸を利用できる生物は一部である。そこで亜リン酸を利用できない生物にPtxDを導入し、亜リン酸を唯一のリン源とした培地で培養すれば、PtxD導入株のみを選択的に増殖させることができる。つまり、ptxDが選択マーカーとして利用できると考えられる。亜リン酸は肥料の成分としても認可されている様に安全性は問題無いうえ、価格は非常に安い。そこでPtxDが実際に選択マーカーとして利用できるか、産業上重要な微生物である酵母と大腸菌においてその有効性を検証した。

3-2-1 酵母における利用
酵母は、真核生物の重要なモデル微生物として研究に使用されているだけでなく、バイオ燃料や化成品、医薬品中間体を生産する微生物宿主として用いられている。単倍体の実験室酵母については、さまざまな選択マーカーが存在する。特にUra, His, Leuなどに代表される栄養要求性マーカーは、特定の化合物を必要とせず培地の組成を変えるだけで利用できることから、利便性が非常に高い。しかし、栄養要求性マーカーの利用は、変異株の取得が前提であり、多倍体の実用酵母では非常に困難である20)。変異株の取得は理屈上不可能ではないが、染色体の数に応じて目的の変異株が得られる確率は指数的に減少するうえ、仮に変異株が取得できたとしても目的外の変異が多数導入され、本来の表現型が失われることもある。この様な場合、形質転換体をポジティブにスクリーニングすることができる「ドミナント選択型」の選択マーカーが望まれるが、その多くは薬剤耐性遺伝子であり大量培養で使うには不向きである21)

出芽酵母としてS. cerevisiae Kyokai No-6、-7、-9、Shochu SH-4 (実用酵母、多倍体)、S. cerevisiae W303a (実験室酵母、単倍体)、分裂酵母として、Shizosaccharomyces pombe (単倍体)の亜リン酸利用能を調べたところ、全て亜リン酸をリン源として利用できないことが確認された22)。そこで、RsPtxDをマルチコピーベクターに導入したプラスミド (pSZPT1)を作製し、Sz. pombeに導入したところ、亜リン酸を単一のリン源とした合成培地で増殖し、最終到達菌体量はリン酸をリン源としたときとほぼ変わらないことが確認された22)(図6)。また、合成培地プレート上における形質転換体の選択効率も、栄養要求性マーカーを利用した場合と遜色ないことが確認されたほか、染色体に導入して単一コピーでの選択も可能であるなど、非常に利便性の高い選択マーカーとして利用できることが確認された22)。一方、S. cerevisiaeにおいては、野生型RsPtxDは機能せず、亜リン酸資化能を付与することはできなかった。この原因を調べたところコドン使用頻度に起因することが示唆されたため、コドンをS. cerevisiaeに最適化した遺伝子 (OPTptxD)を合成し、マルチコピープラスミドに挿入した。このプラスミドpSCPTを上記5種の出芽酵母に導入したところ、形質転換株に顕著な亜リン酸酸化活性が認められ、亜リン酸合成培地上で増殖することができた。合成培地プレート上における直接選択の効率も栄養要求性マーカーとほぼ変わらず、形質転換の選択マーカーとして有効であった22)。しかしながら、液体培養における最終到達菌体量がリン酸使用時の30%程度であり、より多くの菌体収量を得る目的でPtxDを利用する場合は、この問題を解決する必要がある。S. cerevisiaeは亜リン酸に感受性を示し、培養液に亜リン酸を添加すると増殖が悪くなることから、PtxDの発現量をさらに高め、取り込まれた亜リン酸の酸化速度を上げることが必要なのかもしれない。

img6

sentence6

3-2-2 大腸菌における利用
大腸菌は言うまでもなく、バイオテクノロジーにおいて最も利用される事の多いバクテリアのひとつである。大腸菌はC-Pリアーゼ (Phn経路)とアルカリホスファターゼ (PhoA)による亜リン酸酸化経路を有する。後者は、大腸菌のPhoAにのみ見られる活性で、その活性はPtxDに比べると1/100以下である23)。大腸菌においてPtxDをマーカーとして利用するには、これらの内在性の亜リン酸酸化活性が存在しても選択性を発揮できるかを評価する必要がある。4506株由来のptxDを亜リン酸トランスポーターであるptxABCと共にpUCベクターにクローニングし、大腸菌MG1655株に導入した株を作製し、この株とPtxDを持たない野生株を0.5 mMの亜リン酸を含む合成培地に同時に植菌し、培養終了時の両者の割合を測定した。その結果、培養開始時にPtxD導入株と同量 (106 cells)、50倍 (5×107 cells)の野生株が競合株として共存しても培養終了時 (80時間後)にはPtxD導入株がそれぞれ99.7%、97.0%の割合を占めることが分かった。これは、PtxD導入株の方が亜リン酸を効率的に利用できるために増殖が速く、その結果優占したと考えられる。今後、分子改変などによりPtxDの活性を高めることなどで、より選択性を高めることができると考えている。

3-2-3 植物における利用
我が国では農業に毎年約40万トンのリンが投入されているが、作物中の成分として回収されるリンはわずかに約4.3万トンである24)。つまり9割近くのリンが利用される事なく土壌に残留している。これは、リン酸が土壌中の金属と結合し、不溶化してしまっていることが主な原因である。特に鉄やアルミニウムが多い日本のような火山性の土壌では過剰にリンを撒く傾向が定着している。土壌中に不溶化したリンを可溶化する試みもあるが、そもそもリンを土壌に固定させることなく植物に吸収させる事ができれば、リン施肥の根本的な問題解決になる可能性がある。

亜リン酸はリン酸イオンと比べて金属塩の溶解度が高く (例えば亜リン酸のカルシウム塩はリン酸のカルシウム塩に比べて1,000倍水に溶け易い)、鉄に対しても不溶性の塩を作りにくい1)。問題は植物が亜リン酸を直接リン源として利用できないことである。近年、亜リン酸を使った肥料が農業資材として販売されるケースが増えてきているが、これは亜リン酸が植物のリン源として直接作用する訳ではなく、植物の病原菌抵抗性を誘導したり、亜リン酸が病原菌の増殖を抑制することによる間接的な効果と考えられている25,26)。そこでPtxDを植物に導入すれば、亜リン酸を直接のリン源として利用できるようになると考えられる。この取り組みには我々以外にもメキシコのグループが同様のコンセプトで研究を進めており、双方においてPtxDを導入することで亜リン酸が利用できるようになることを確認している22,27)。今後、クロボク土など実際の土壌でも亜リン酸が利用できることが確認されれば、リンの土壌固定を回避してリン施肥量を大幅に減らす究極の省リン技術になるであろう。

3-2-4 PtxDマーカーの今後の課題と展望
これまで筆者らが様々な宿主でPtxDの異種発現を試みてきた結果をみると、亜リン酸培地での十分な生育速度を得るためには、次の3つのポイントがあると考えられる。まず、一つめはPtxDタンパク質の発現量である。ほぼ全ての宿主生物において、発現量が多いほど高い増殖速度が得られたが、これはリン酸が増殖を制限する事を考えると当然のことであるともいえる。次に、宿主の亜リン酸に対する感受性が挙げられる。亜リン酸が細胞に対する毒性を発揮するメカニズムについてはまだあまり分かっていないが、微生物の種類によって感受性を示すものとそうで無いものがある。PtxDが十分に機能すれば速やかにリン酸に変換されるため、感受性のある宿主においては特にPtxDの発現量は多い方が良いと考えられる。3つめは亜リン酸の細胞内への取り込みである。大腸菌および酵母のトランスポーター破壊株を用いた実験から、亜リン酸は複数種存在するリン酸トランスポーターを介して取り込まれていることが分かっており、さらにリン酸トランスポーターの種類によって取り込み能力が異なっていることが分かっている。これらのポイントを中心に改良を進めることで、PtxDを用いた選択的培養の効果を高めることができると考えている。

また、PtxDを用いることによるもう一つのメリットとして、培養系の滅菌を簡素化できる可能性がある。すなわち、バイオエタノール生産のように事実上培地を滅菌することが難しい培養において使用すれば、雑菌の混入による生産効率の低下を防ぎ、生産効率を大きく向上させることができると考えられる。現在HtxAとPtxDを併用することで、選択性を高められることを確認しており、大規模培養においても抗生物質を利用しないで選択圧を与える培養が可能であると考えられる。

4.おわりに
リンの生物循環における還元型リン化合物の役割は未だ不明な点が数多く残されている。特にリンの還元に関わる微生物機能についてはこれまで全く報告されておらず、そのメカニズムには非常に興味が持たれる。微生物によるリンの酸化と還元が明らかにされれば、地球化学的な物質循環としてのインパクトだけではなく、リン資源資源の有効利用をはじめとした様々なバイオテクノロジーの開発にも大きく貢献すると考えられる。今後、還元型リン化合物の生成・代謝に関わる機構の詳細が明らかにされるとともに、サステナブルなリンの利用技術や革新的なバイオテクノロジーが生み出されることを期待したい。

文献
1) Pasek, M. A.: Proc. Natl. Acad. Sci. USA, 105, 853 (2008).
2) Pasek, M., Kristin, B.: Nat. Geosci., 2, 553 (2009).
3) Roels, J., Verstraete, W.: Sci. Tot. Environ., 327, 185 (2004).
4) 橋爪佳, 内藤和久, 岡博幸, 奥村元: 表面技術, 58, 13 (2007).
5) Devai, I., Felfoldy, L., Wittner, I., Plosz, S.: Nature, 333, 343 (1988).
6) Tsubota, G.: J. Soil Sci. Plant Nutr., 5, 10 (1959).
7) Malacinski, G., Konetzka, W.: J. Bacteriol., 93, 1906 (1967).
8) Heinen, W., Lauwers, A. M.: Arch. Microb., 95, 267 (1974).
9) Costas, A. M., White, A. K., Metcalf, W. W.: J. Biol. Chem., 276, 17429 (2001).
10) White, A. K., Metcalf, W. W.: J. Biol. Chem., 277, 38262 (2002).
11) Chen, C. M., Ye, Q. Z., Zhu, Z. M., Wanner, B. L., Walsh, C. T.: J. Biol. Chem., 265, 4461 (1990).
12) Seweryn, P., Van, L. B., Kjeldgaard, M., Russo, C. J., Passmore, L. A., Hove-Jensen, B., Jochimsen, B., Brodersen, D. E.: Nature (2015).
13) Kamat, S. S., Williams, H. J., Raushel, F. M.: Nature, 480, 570 (2011).
14) Van Mooy, B. A., Krupke, A., Dyhrman, S. T., Fredricks, H. F., Frischkorn, K. R., Ossolinski, J. E., Repeta, D. J., Rouco, M., Seewald, J. D., Sylva, S. P.: Science, 348, 783 (2015).
15) Yu, X., Doroghazi, J. R., Janga, S. C., Zhang, J. K., Circello, B., Griffin, B. M., Labeda, D. P., Metcalf, W. W.: Proc. Natl. Acad. Sci. USA, 110, 20759 (2013).
16) Woodyer, R., Zhao, H., van der Donk, W. A.: FEBS J., 272, 3816 (2005).
17) Woodyer, R., van der Donk, W. A., Zhao, H.: Comb. Chem. High Throughput Screen, 9, 237 (2006).
18) Hirota, R., Yamane, S. T., Fujibuchi, T., Motomura, K., Ishida, T., Ikeda, T., Kuroda, A.: J. Biosci. Bioeng., 113, 445 (2012).
19) Katzberg, M., Skorupa-Parachin, N., Gorwa-Grauslund, M. F., Bertau, M.: Int. J. Mol. Sci., 11, 1735 (2010).
20) Hashimoto, S., Ogura, M., Aritomi, K., Hoshida, H., Nishizawa, Y., Akada, R.: Appl. Environ. Microb., 71, 312 (2005).
21) Akada, R., Shimizu, Y., Matsushita, Y., Kawahata, M., Hoshida, H., Nishizawa, Y.: Yeast, 19, 17 (2002).
22) Kanda, K., Ishida, T., Hirota, R., Ono, S., Motomura, K., Ikeda, T., Kitamura, K., and Kuroda, A.: J. Biotechnol., 182-183, 68 (2014).
23) Yang, K., Metcalf, W. W.: Proc. Natl. Acad. Sci. USA, 101, 7919 (2004).
24) 松八重一代, 久保裕也, 大竹久夫, 長坂徹也: 社会技術研究論文集, 5, 106 (2008).
25) Lim, S., Borza, T., Peters, R. D., Coffin, R. H., Al-Mughrabi, K. I., Pinto, D. M., Wang-Pruski, G.: J. Proteomics, 93, 207 (2013).
26) Lovatt, C. J., Mikkelsen, R. L.: Better Crops, 90, 11 (2006).
27) Lopez-Arredondo, D. L., Herrera-Estrella, L.: Nat. Biotechnol., 30, 889 (2012).

to top